|
| 別紙1 変異原性が認められた届出物質に関する情報一覧 |
|
番号
|
名 称
|
名称公表
通し番号 |
名称公表年月日
名称公表告示番号 |
構造式
|
常温における 性状 |
用途
|
|
1
|
2-(アセチルオキシイミノメチル)チオキサンテン-9-オン |
10720
|
平成14年9月27日 厚生労働省告示第327号 |
![]() |
白色固体 | 光重合開始剤 |
|
2
|
2,3-エポキシプロパ-1-オールとオルトケイ酸テトラメチル重縮合物の反応生成物 |
10602
|
平成14年6月27日 厚生労働省告示第221号 |
![]() |
透明液体 | 合成樹脂原料 |
|
3
|
2-クロロイソニコチノニトリル |
10746
|
平成14年9月27日 厚生労働省告示第327号 |
![]() |
白色固体 | 医薬品原料 |
|
4
|
3-クロロ-1,2-エポキシプロパン・4,4’-(プロパン-2,2-ジイル)ジフェノール重縮合物と { ポリ(オキシエチレン)ポリ[オキシ(2-ヒドロキシトリメチレン)] } の反応生成物 |
11021
|
平成15年3月27日 厚生労働省告示第132号 |
(欄外に表示) | 無色液体 | エポキシ樹脂添加剤 |
|
5
|
2-クロロシクロヘキサ-1-エン-1,3-ジカルバルデヒド |
10479
|
平成14年3月27日 厚生労働省告示第123号 |
![]() |
茶褐色固体 | 感光材料中間体 |
|
6
|
クロロトリス(ジメチルアミノ)ホスホニウム=クロリド |
10612
|
平成14年6月27日 厚生労働省告示第221号 |
![]() |
白色固体 | 重合触媒中間体 |
|
7
|
6-クロロ-4-ヒドロキシ-1,1-ジオキソ-1λ6 -2H -チエノ[2,3-e ][1,2]チアジン-3-カルボン酸メチル |
11025
|
平成15年3月27日 厚生労働省告示第132号 |
![]() |
淡黄色固体 | 医薬品中間体 |
|
8
|
クロロメタンスルフェニル=クロリド |
10484
|
平成14年3月27日 厚生労働省告示第123号 |
![]() |
淡黄色固体 | 防汚剤中間体 |
|
9
|
2-(2-クロロメチルフェニル)酢酸メチル |
10749
|
平成14年9月27日 厚生労働省告示第327号 |
![]() |
無色または 微黄色液体 |
農薬中間体 |
|
10
|
5-クロロメチル-2-メトキシ安息香酸メチル |
10618
|
平成14年6月27日 厚生労働省告示第221号 |
![]() |
白色固体 | 医薬品中間体 |
|
11
|
N -(4-ジエチルアミノベンジリデン)アニリン=N -オキシド |
10623
|
平成14年6月27日 厚生労働省告示第221号 |
![]() |
黄色固体 | フォトレジスト増感剤 |
|
12
|
[SP -4-2]-[(1R , 2R )-シクロヘキサン-1,2-ジアミン-κ2N , N ’][オキザラト(2-)-κ2O , O ’]白金(U) |
10876
|
平成14年12月25日 厚生労働省告示第390号 |
![]() |
白色固体 | 医薬品原薬 |
|
13
|
[SP -4-2]-ジクロロ[(1R , 2R )-シクロヘキサン-1,2-ジアミン-κ2N , N ’]白金(U) |
10882
|
平成14年12月25日 厚生労働省告示第390号 |
![]() |
黄色固体 | 医薬品中間体 |
|
14
|
ジクロロジ(シクロペンタ-2,4-ジエン-1-イル)チタン(W)と2-フリルメタノールの反応生成物 |
10758
|
平成14年9月27日 厚生労働省告示第327号 |
![]() |
黒色粘調性 液体 |
重合反応触媒 |
|
15
|
1,4-ジブロモブタ-2-エン |
11051
|
平成15年3月27日 厚生労働省告示第132号 |
![]() |
白色から淡 褐色または 灰色結晶 |
医薬品原料 |
|
16
|
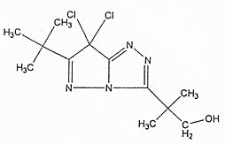
2-(6-tert -ブチル-7,7-ジクロロ-7H -ピラゾロ[3,2-c ][1,2,4]トリアゾール-3-イル)-2-メチルプロパン-1-オール |
10695
|
平成14年6月27日 厚生労働省告示第221号 |
![]() |
白色固体 | 感光材料中間体 |
|
17
|
2-ブロモ-1,1-ジフルオロエテン |
10951
|
平成14年12月25日 厚生労働省告示第390号 |
![]() |
無色気体 | 高分子原料 |
